Suunto Nautic S Guide d'utilisation
Consommation de gaz
Vous pouvez suivre votre consommation de gaz en temps réel pendant votre plongée depuis la fenêtre commutable de l'écran de la montre. Il est également possible de consulter votre consommation de gaz moyenne pendant la plongée dans le récapitulatif de la plongée de l’appareil et l’appli Suunto.
Les données Consommation de gaz visibles à l’écran correspondent à votre taux de consommation de gaz en temps réel pendant une plongée en fonction de votre profondeur. Pour calculer votre fréquence respiratoire personnelle, le Suunto Nautic S s’appuie sur votre volume respiratoire par minute (VRM), qui correspond au volume de gaz inspiré dans vos poumons chaque minute, mesuré en L/min ou ft³/min. Pour obtenir une mesure précise de votre consommation de gaz, vous devez définir le volume de la bouteille du gaz utilisée dans le menu Modifier gaz. Voir Modifier le gaz. Le volume de la bouteille par défaut est de 12 L (80 ft³)


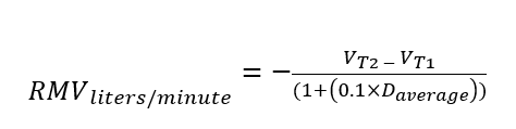
La formule de calcul du VRM utilisée par le Suunto Nautic S pour calculer la consommation de gaz pendant la plongée est la suivante :
Ce calcul prend en compte la profondeur actuelle et le volume moyen de gaz utilisé (à la pression atmosphérique) sur une période pouvant aller de 50 à 170 secondes.

| Vgas (liters) | Volume du gaz à la pression atmosphérique |
| VRMliters/minute | CAS adaptée à la profondeur |
| T1 | Temps au début de la période |
| T2 | Temps à la fin de la période |
| Profondeur (T) | Profondeur |
| VT1 | Vgas (liters) au début de la fenêtre |
| VT2 | Vgas (liters) à la fin de la fenêtre |
| Daverage | Profondeur moyenne dans la période |
Pour calculer le volume de gaz, le Suunto Nautic S utilise la formule suivante :

Vous pouvez voir votre consommation moyenne de gaz après la plongée dans le récapitulatif de plongée. La valeur indique la valeur moyenne de la consommation de gaz, calculée à partir de toutes les valeurs de consommation de gaz pendant la plongée.
Étant donné que les valeurs de consommation en temps réel sont basées sur des données collectées sur une fenêtre de temps, la valeur de consommation de gaz peut ne pas être renseignée immédiatement au début de la plongée. Les valeurs peuvent également être plus élevées en raison de l’utilisation d’un tuyau basse pression pour contrôler la flottabilité du gilet de stabilisation ou de la combinaison d’exposition.
Les calculs des gaz prennent également en compte la compressibilité du gaz et les variations de température pour fournir des valeurs plus précises.