Suunto Nautic S Gebruikershandleiding
Gasverbruik
Je kunt de daadwerkelijke gasdruk tijdens de duik in de gaten houden in het schakelvenster in de tijdweergave. In het overzicht van de duik op het apparaat en in de Suunto app zie je ook het gemiddelde gasverbruik..
Het Gasverbruik op het scherm is het daadwerkelijke verbruik van een gasmengsel tijdens de duik op de huidige diepte. Om je persoonlijke ademfrequentie te berekenen, gebruikt de Suunto Nautic S het ademminuutvolume. Dit is de hoeveelheid gas die je longen per minuut verwerken, gemeten in L/min of kub. ft/min. Met het oog op een correct gasverbruik moet je in het menu Gas bewerken de grootte van de fles instellen. Zie Gas bewerken. Standaard wordt uitgegaan van een fles met een inhoud van 12 liter (80 cu ft).


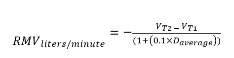
Dit is de formule voor ademminuutvolume waarmee in de Suunto Nautic S het gasverbruik tijdens de duik wordt berekend:
De berekening is gebaseerd op de daadwerkelijke diepte en de hoeveelheid gas (atmosferische druk) die gemiddeld wordt gebruikt in een tijdvenster variërend van 50 tot 170 seconden.

| Vgas (liters) | Gasvolume in atmosferische druk |
| Ademminuutvolumeliters/minute | SAC omgerekend naar diepte |
| T1 | Tijd aan het begin van venster |
| T2 | Tijd aan het einde van venster |
| Diepte (T) | Diepte |
| VT1 | Vgas (liters) aan het begin van venster |
| VT2 | Vgas (liters) aan het eind van venster |
| Daverage | Gemiddelde diepte in tijdvenster |
De Suunto Nautic S hanteert de volgende formule om het gasvolume te berekenen:

Je kunt het gemiddelde gasverbruik na de duik zien in het duikoverzicht. De waarde toont het gemiddelde gasverbruik, berekend uit alle gasverbruikswaarden tijdens de duik.
Aangezien de realtime verbruikswaarden gebaseerd zijn op gegevens die binnen een tijdsvenster zijn verzameld, is het mogelijk dat de gasverbruikswaarde niet meteen aan het begin van de duik wordt weergegeven. De waarden kunnen ook hoger zijn door het gebruik van een lagedrukslang om het drijfvermogen in de BCD of het duikpak te controleren.
De gasberekeningen houden ook rekening met de samendrukbaarheid van het gas en temperatuurschommelingen om nauwkeurigere waarden te verkrijgen.