Suunto Nautic User Guide
Gas consumption
You can follow your actual gas pressure during your dive from the switch window on the device screen. You can also see the average gas consumption from the dive in the dive summary in the device and in Suunto app.

The Gas consumption data on the screen refers to your real-time consumption rate of gas during a dive at the depth you are at. To calculate your personal breathing rate, Suunto Nautic uses respiratory minute volume (RMV) which is the volume of gas your lungs experience per minute, measured in L/min or cu ft/min. For accurate gas consumption, you need to define the correct tank size for the gas in the Edit gas menu. See Edit gas. The default tank size is always 12 L (80 cu ft) .
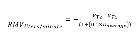
The RMV formula used in Suunto Nautic to calculate the gas consumption during the dive is the following:
The calculation is based on actual depth and the average used gas volume (in atmospheric pressure) calculated within in a varying 50 – 170-second window.

| Vgas (liters) | Gas volume in atmospheric pressure |
| RMVliters/minute | Depth compensated SAC |
| T1 | Time at the beginning of the window |
| T2 | Time at the end of the window |
| Depth (T) | Depth |
| VT1 | Vgas (liters) at the beginning of the window |
| VT2 | Vgas (liters) at the end of the window |
| Daverage | Average depth in time window |
To calculate gas volume, Suunto Nautic uses the following formula:

You can see your average gas consumption after the dive in the dive summary. The value shows the average gas consumption value, calculated from all the gas consumption values during the dive.
Since the real-time consumption values are based on data collected within a time window, the gas consumption value might not be populated immediately at the beginning of the dive. The values might also be higher due to using low pressure hose to control buoyancy in BCD or exposure suit.
The gas calculations also take into consideration the gas compressibility and temperature variations to provide more accurate values.