Suunto s'engage à amener ce site Web au niveau AA de conformité aux directives d'accessibilité du contenu Web (Web Content Accessibility Guidelines, WCAG) 2.0 ainsi qu'à assurer sa conformité aux autres normes d'accessibilité. Adressez-vous au Service clients aux États-Unis au +1 855 258 0900 (appel gratuit) si vous rencontrez des problèmes pour accéder aux informations de ce site Web.

Suunto Nautic Kullanım Kılavuzu

Gaz tüketimi

Dalışınız sırasında gerçek gaz basıncınızı cihaz ekranındaki değişim ekranından takip edebilirsiniz. Ayrıca dalıştaki ortalama gaz tüketimini cihazdaki dalış özetinde ve Suunto uygulamasında görebilirsiniz.

gas consumption-2

Ekrandaki Gaz Tüketimi verileri, bulunduğunuz derinlikteki bir dalış sırasında gerçek zamanlı gaz tüketim oranınızı ifade eder. Kişisel solunum hızınızı hesaplamak için Suunto Nautic akciğerlerinizin dakikada maruz kaldığı gaz hacmi olan dakikadaki solunum hacmi (RMV) kullanılır ve L/dak veya cu ft/dak ile ölçülür. Doğru gaz tüketimi için Gazı düzenle menüsünde gaz için doğru tüp boyutunu tanımlamanız gerekir. Bkz. Gazı düzenle. Varsayılan tüp boyu daima 12 lt (80 cu fit)’dir.

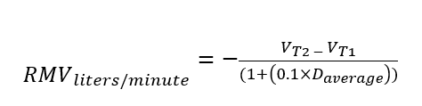
Dalış sırasındaki gaz tüketimini hesaplamak için Suunto Nautic'de kullanılan RMV formülü aşağıdaki gibidir:

Hesaplama, gerçek derinliğe ve 50 - 170 saniye arasında değişen bir aralıkta hesaplanan kullanılan ortalama gaz hacmine (atmosferik basınçta) dayanmaktadır.

RMV formula

Vgas (liters)Atmosferik basınçta gazın hacmi
RMVliters/minuteDerinlikte kompanse edilen SAC
T1Aralığın başındaki saat
T2Aralığın sonundaki saat
Derinlik (T)Derinlik
VT1 Aralığın başındaki |Vgas (liters)
VT2 Aralığın sonundaki |Vgas (liters)
DaverageZaman aralığındaki ortalama derinlik

Gaz hacmini hesaplamak için Suunto Nautic aşağıdaki formülü kullanır:

gas calculation

Dalışın ardından ortalama gaz tüketiminizi dalış özetinde görebilirsiniz. Değer, dalış boyunca gerçekleşen tüm gaz tüketimi değerleri kullanılarak hesaplanan ortalama gaz tüketimi değerini gösterir.

NOT:

Gerçek zamanlı tüketim değerleri belirli bir zaman aralığında toplanan verilere dayalı olduğundan, gaz tüketimi değeri dalış başlangıcında hemen doldurulamayabilir. Ayrıca BCD veya maruz kalma kıyafeti yüzerliğini kontrol etmek için alçak basınç hortumu kullanılması nedeniyle de değerler daha yüksek olabilir.

NOT:

Gaz hesaplamalarında ayrıca gazın sıkışabilirliği ve sıcaklık değişimleri de dikkate alınarak daha doğru değerler elde edilir.

Sommaire