Suunto Nautic Gabay sa User
Pagkonsumo ng gas
Maaari mong sundin ang iyong aktwal na presyon ng gas sa oras ng iyong pagsisid mula sa window ng switch sa screen ng device. Makikita mo rin ang karaniwan na pagkonsumo ng gas mula sa pagsisid sa buod ng dive sa device at sa Suunto app.

Ang data ng Gas consumption sa screen ay tumutukoy sa iyong kasalukuyang rate ng pagkonsumo ng gas sa oras ng pagsisid sa lalim kung nasaan ka. Para kalkulahin ang iyong personal na rate ng paghinga, gumagamit ang Suunto Nautic ng respiratory minute volume (RMV) na kung saan ay ang dami ng gas na nararanasan ng iyong baga kada minuto, na sinusukat sa L/min o cu ft/min. Para sa tumpak na pagkonsumo ng gas, kailangan mong tukuyin ang tamang sukat ng tangke para sa gas sa Edit gas na menu. Tingnan ang I-edit ang gas. Ang default na sukat ng tangke ay palaging 12 L (80 cu ft).
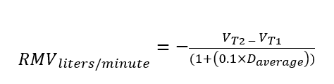
Ang RMV formula na ginagamit sa Suunto Nautic para kalkulahin ang pagkonsumo ng gas sa oras ng pagsisid ay ang sumusunod:
Ang pagkalkula ay batay sa aktwal na lalim at ang karaniwan na ginagamit na dami ng gas (sa atmospheric na presyon) na kinakalkula sa loob ng iba't ibang 50 - 170 segundong window.

| Vgas (liters) | Dami ng gas sa atmospheric na presyon |
| RMVliters/minute | Depth compensated na SAC |
| T1 | Oras sa simula ng window |
| T2 | Oras sa pagtatapos ng window |
| Lalim (T) | Lalim |
| VT1 | Vgas (liters) sa simula ng window |
| VT2 | Vgas (liters) sa pagtatapos ng window |
| Daverage | Karaniwan na lalim sa window ng oras |
Para kalkulahin ang dami ng gas, ginagamit ng Suunto Nautic ang sumusunod na formula:

Makikita mo ang karaniwang pagkonsumo ng gas pagkatapos ng pagsisid sa buod ng pagsisid. Ipinapakita ng value ang karaniwang pagkonsumo ng gas, na kinakalkula mula sa lahat ng mga value ng pagkonsumo ng gas sa panahon ng pagsisid.
Dahil ang mga real-time na value ng pagkonsumo ay nakabase sa mga data na nakolekta sa loob ng isang tiyak na oras, puwedeng hindi agad lumitaw ang value ng pagkonsumo ng gas sa simula ng pagsisid. Puwedeng mas mataas ang mga value dahil sa paggamit ng low pressure hose para kontrolin ang buoyancy sa BCD o exposure suit.
Isinasaalang-alang din ng mga kalkulasyon ng gas ang compressibility ng gas at pagbabago sa temperatura para magbigay ng mas tumpak na mga value.