Suunto Nautic 使用者指南
Table of Content
Table of Content
氣體消耗
您可以從裝置螢幕上的切換視窗追蹤潛水期間的實際氣壓。您也可以在裝置和 Suunto 應用程式的潛水摘要中查看潛水的平均氣體消耗。

螢幕上的 氣體消耗 資料是指您在潛水期間的即時氣體消耗率。為了計算您的個人呼吸率,Suunto Nautic 會使用呼吸分鐘容積(RMV),也就是您的肺部每分鐘所接觸的氣體體積,單位為 升/分 或 立方英尺/分。如需精確的氣體消耗,您需要在 編輯氣體 選單中定義正確的氣瓶大小。請參閱 編輯氣體。預設氣瓶大小永遠為 12 公升(80 立方英呎)。
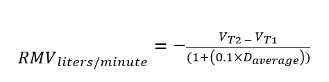
在 Suunto Nautic 中用來計算潛水過程中氣體消耗的 RMV 公式如下:
計算是基於實際深度和平均使用氣體體積(以大氣壓力為單位),在50 – 170 秒的變化窗口內計算。

| Vgas (liters) | 以大氣壓力為單位的氣體體積 |
| RMVliters/minute | 深度補償 SAC |
| T1 | 窗口開始的時間 |
| T2 | 窗口結束的時間 |
| 深度 (T) | 深度 |
| VT1 | 窗口開始時的 Vgas (liters) |
| VT2 | 窗口結束時的 Vgas (liters) |
| Daverage | 時間窗口內平均深度 |
Suunto Nautic 使用以下公式計算氣體體積:

您可以在潛水摘要中查看潛水後的平均氣體消耗量。該值顯示平均氣體消耗值,由潛水時的所有氣體消耗值計算得出。
注释:
由於即時消耗值是以時間窗內收集的資料為基礎,因此氣體消耗值可能不會在潛水開始時立即計算。由於使用低壓軟管控制 BCD 或潛水衣的浮力,數值也可能會更高。
注释:
氣體計算也會考慮到氣體的可壓性和溫度變化,以提供更精確的數值。