Suunto Nautic Потребителско ръководство
Разход на газ
Можете да проследявате актуалното налягане на газа по време на гмуркането си от прозореца за превключване на екрана на устройството. Също така можете да виждате средния разход на газ от гмуркането в обобщената информация за него в устройството и приложението Suunto.

Данните Gas consumption на екрана се отнасят до реалния ви разход на газ по време на гмуркане на дълбочината, на която сте. За да изчисли персоналната ви честота на дишане, Suunto Nautic използва респираторен обем в минута (RMV), който представлява обемът газ, преминаващ през дробовете ви за минута, измерен в L/min или cu ft/min. За правилен разход на газ трябва да определите правилния размер на резервоара за газ в менюто Edit gas. Вижте Редактиране на газ. Размерът на резервоара по подразбиране е винаги 12 L.
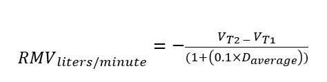
Формулата за RMV, използвана в Suunto Nautic за изчисляване на разхода на газ по време на гмуркане, е следната:
Изчислението се базира на действителната дълбочина и средния използван обем газ (в атмосферно налягане), изчислен в прозорец, вариращ в рамките на 50 – 170 секунди.

| Vgas (liters) | Обем на газа в атмосферно налягане |
| RMVliters/minute | Компенсирана с дълбочината SAC |
| T1 | Време в началото на прозореца |
| T2 | Време в края на прозореца |
| Дълбочина (T) | Дълбочина |
| VT1 | Vgas (liters) време в началото на прозореца |
| VT2 | Vgas (liters) време в края на прозореца |
| Daverage | Средна дълбочина във времевия прозорец |
За да изчисли обема на газа, Suunto Nautic използва следната формула:

Можете да видите средния разход на газ след гмуркането в обобщената информация за него. Стойността показва средната стойност на разхода на газ, изчислена от всички стойности на разхода на газ по време на гмуркането.
Тъй като стойностите на разхода в реално време се основават на данни, събрани в рамките на времеви прозорец, стойността на разхода на газ може да не се попълни веднага в началото на гмуркането. Стойностите може да са по-високи и поради използването на маркуч с ниско налягане за контролиране на плаваемостта в BCD или водолазния костюм.
При изчисленията на газа се отчитат също така неговата сгъстимост и температурните колебания, за да се осигурят по-точни стойности.