Suunto Ocean Gebruikershandleiding
Draadloze overdracht van flesdruk
Suunto Oceankan samen met de Suunto Tank POD worden gebruikt zodat de flesdruk en het gasverbruik draadloos worden verzonden naar de duikcomputer. Suunto Ocean is alleen geschikt voor gebruik met Suunto Tank POD zenders. De Suunto Tank POD verzendt gegevens via de 123 kHz frequentie. De communicatie van de Tank POD naar de duikcomputer is eenrichtingsverkeer – de duikcomputer stuurt niets terug naar de Tank POD.
Ingeschakelde functies wanneer de Suunto Ocean is gekoppeld met de Suunto Tank POD:
Flesdruk van maximaal 5 flessen
Daadwerkelijk gasverbruik voor het actieve gasmengsel (L/min of kub. ft/min)
Resterende gastijd voor het actieve gasmengsel
Configureerbare alarmen voor flesdruk
Het loggen van de start-, eind- en verbruikte druk
Het loggen van het gemiddelde verbruik per gas met Tank POD
Eenheden in bar of psi
Een Suunto Tank POD installeren en koppelen
Een Suunto Tank POD installeren en koppelen:
Installeer de Tank POD zoals staat beschreven in de Beknopte handleiding van de Tank POD of in de gebruikershandleiding van de Tank POD.
OPMERKING:Met het oog op een zo nauwkeurig mogelijke flesdruk adviseert Suunto om de Suunto Tank POD te installeren aan de kant waar je ook de Suunto Ocean draagt.
- Zodra de Tank POD is geïnstalleerd en de kraan is geopend, wacht je tot de groene ledlampjes op de Tank POD gaan knipperen.
- Ga naar het menu Tank POD onder Duikopties. Als de Tank POD actief en binnen bereik is, wordt het serienummer van de Tank POD in het display weergegeven.
- Selecteer de juiste Tank POD en controleer de batterijspanning en de flesdruk.
- Selecteer in de lijst het gasmengsel waarmee je de Suunto Tank POD wilt koppelen (as je met meerdere gasmengsels duikt).
- Let op dat de flesinhoud juist is ingevoerd zodat het gasverbruik correct wordt gemeten.
Ga terug naar het hoofdmenu – het serienummer van je Tank POD staat nu in het menu Tank POD.

Je kunt de Tank POD(s) van Suunto ook koppelen via het menu Gassen:
- Selecteer in het menu Gassen het gasmengsel dat je wilt koppelen aan de Tank POD.
- Ga naar de weergave Gas bewerken en scrol naar de Tank POD-instelling.
Controleer of de Tank POD geactiveerd en binnen bereik is. Selecteer het serienummer van je Tank POD in de lijst.

Als je de Tank POD hebt gekoppeld met meerdere gassen, controleer dan vóór de duik of het juiste gasmengsel is geselecteerd en de Tank POD is gekoppeld. In de hoofdweergaven van de duik wordt de druk van slechts één fles getoond – dat is de druk van het actieve gasmengsel.
Als meerdere duikers gebruikmaken van een Tank POD, moet je vóór de duik altijd controleren of het POD-nummer van het geselecteerde gasmengsel gelijk is aan het serienummer op je POD.
Het serienummer staat op het metaal aan de onderzijde en ook op de kap van de Tank POD.
Herhaal bovenstaande procedure voor alle andere Tank POD’s en selecteer per POD een ander gasmengsel.
De Tank POD loskoppelen van een specifiek gasmengsel en verwijderen:
Selecteer in het menu Gassen het gasmengsel dat je wilt loskoppelen van de Tank POD.
Maak de selectie ongedaan van de Tank POD die je wilt verwijderen (let op het serienummer).
De Tank POD staat niet langer in de lijst met geselecteerde gasmengsels.
Je kunt de Tank POD ook loskoppelen in het menu Tank POD.
Je kunt de Tank POD alleen loskoppelen als deze actief is en signalen uitzendt.
Gebruik altijd een analoge onderwatermanometer als back-upinstrument voor de flesdruk.
Meer informatie over de Suunto Tank POD vind je in de handleiding die je bij het product hebt ontvangen.
Flesdruk
Als de Suunto Ocean eenmaal is gekoppeld met de Suunto Tank POD, kun je de druk in de fles altijd aflezen in het schakelvenster en op de boog in de weergave van de flesdruk. Onder Belangrijke informatie tijdens duik zie je hoe de flesdruk op de boog wordt getoond.
De volgende afbeeldingen laten zien hoe de flesdruk wordt getoond:
Flesdruk is 125 bar:

Flesdruk is 50 bar:

Bij 100 bar wordt een extra alarm voor de flesdruk geactiveerd:

Als er geen Suunto Tank POD is gekoppeld, staat in het schakelvenster Geen Tank Pod. Als er wel een Tank POD is gekoppeld maar er geen gegevens worden ontvangen, staat er in het veld - -. Mogelijk is de Tank POD buiten bereik, is de kraan van de fles dicht of is de batterij van de Tank POD bijna leeg.
Ledlampjes kunnen het signaal van de flesdruk verstoren.
Gasverbruik
Je kunt de daadwerkelijke gasdruk tijdens de duik in de gaten houden in het schakelvenster in de tijdweergave. In het overzicht van de duik op het apparaat en in de Suunto app zie je ook het gemiddelde gasverbruik..
Het Gasverbruik op het scherm is het daadwerkelijke verbruik van een gasmengsel tijdens de duik op de huidige diepte. De berekening van je persoonlijke luchtverbruik baseert de Suunto Ocean op het ademminuutvolume, de hoeveelheid gas die je longen per minuut verwerken, gemeten in L/min of kub. ft/min. Met het oog op een correct gasverbruik moet je in het menu Gas bewerken de grootte van de fles instellen. Zie Gas bewerken. Standaard wordt uitgegaan van een fles met een inhoud van 12 liter (80 cu ft).


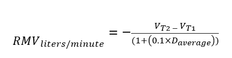
Dit is de ademminuutvolume-formule waarmee in de Suunto Ocean het gasverbruik tijdens de duik wordt berekend:
De berekening is gebaseerd op de daadwerkelijke diepte en de hoeveelheid gas (atmosferische druk) die gemiddeld wordt gebruikt in een tijdvenster variërend van 50 tot 170 seconden.

| Vgas (liters) | Gasvolume (atmosferische druk) |
| AMVliter/minuut | SAC omgerekend naar diepte |
| T1 | Tijd aan het begin van venster |
| T2 | Tijd aan het einde van venster |
| Diepte (T) | Diepte |
| VT1 | Vgas (liters) aan het begin van venster |
| VT2 | Vgas (liters) aan het einde van venster |
| Dgemiddeld | Gemiddelde diepte in tijdvenster |
De Suunto Ocean hanteert de volgende formule om het gasvolume te berekenen:

Je kunt het gemiddelde gasverbruik na de duik zien in het duikoverzicht. De waarde toont het gemiddelde gasverbruik, berekend uit alle gasverbruikswaarden tijdens de duik.
Aangezien de realtime verbruikswaarden gebaseerd zijn op gegevens die binnen een tijdsvenster zijn verzameld, is het mogelijk dat de gasverbruikswaarde niet meteen aan het begin van de duik wordt weergegeven. De waarden kunnen ook hoger zijn door het gebruik van een lagedrukslang om het drijfvermogen in de BCD of het duikpak te controleren.
De gasberekeningen houden ook rekening met de samendrukbaarheid van het gas en temperatuurschommelingen om nauwkeurigere waarden te verkrijgen.
Gastijd
De Gastijd in het schakelvenster is de maximale tijd (in minuten) die je op de huidige diepte kunt blijven en kunt opstijgen naar de oppervlakte (met een snelheid van 10 meter per minuut) om met 35 bar (508 psi) in de fles boven te komen. De tijd is gebaseerd op de flesdruk, de inhoud van je fles en je huidige ademhalingssnelheid.

De Gastijd wordt berekend met deze formule:

Veiligheids- en decompressiestops worden niet meegenomen in de berekening van de Gastijd.